MA.1.3 函数极限

函数、基本/初等函数、反函数

函数

函数

Pasted image 20231023200506.png

反函数

条件:一一对应

Theorem

#反函数存在定理

严格单调函数必定存在相同单调性的反函数


证明:
Pasted image 20231023201730.png

函数的复合

Definition

复合函数

fg(x)=f(g(x))

满足交换律

f(gh)=(fg)h

初等函数

函数极限

无穷的极限

函数极限的 #epsilon-X定义

无穷大处的极限

ε>0, X=X(ε)>a, |x|>X, 

|f(x)l|<ε

limxf(x)=lf(x)l  (x)

类比得到无穷大/无穷小

某一点的极限

函数极限的 #epsilon-delta定义

 ε>0,  δ>0,  0<|xx0|<δ 

|f(x)l|<ε

limxx0f(x)=lf(x)l  (xx0)

左右单侧极限同理可得

Theorem

f(x)x0f(x)x0

f(x)xx0
x0{an} (anx0)limnx0f(an)=l^91bb61

f(a,b),f(a+0)f(b0) f(a+0)=inff(a,b),f(b0)=supf(a,b)^b26dca

fU˚(x0),f(x0±0), limxx0f(x)
证明只需要在(a,x0), (x0,b)运用 #单调函数极限定理 即可^207454

limxx0f(x)
ε>0,δ>0,x,xU˚(x0,δ): $$|f(x')-f(x'')|<\varepsilon$$
其他五种极限不再赘述^aa2b80

极限的内涵

f(x)xx0
x0{an} (anx0)\lim\limits_{n\to x_{0}}f(a_{n})=l$

- 理解:
- 任意的离散 = 连续
- (函数值构成的)数列极限<=>函数极限
- 下标:异于x0,趋于x0
- 证明:
- ->:xx0xnx0
- <-:反证法+构造性证明 |f(xδ)l|ε0 δ=1n0 |f(an)l|ε0, 
- 应用:常用于判定函数极限不存在
- 找到不相等的极限l
- #单调有界定理 -> #单调函数极限
-

f(a,b),f(a+0)f(b0) f(a+0)=inff(a,b),f(b0)=supf(a,b)

>desmos-graph >width=400;height=200 >top=1;bottom=-1;left=-1.5;right=1.5; >--- >y=\sin x\left\{-1<x<1\right\} >
>证明见P42:sup定义 / #确界原理
-

fU˚(x0),f(x0±0), limxx0f(x)
证明只需要在(a,x0), (x0,b)运用 #单调函数极限定理 即可

- #Cauchy收敛准则 -> #Cauchy判别准则^dce2c1
-

limxx0f(x)
ε>0,δ>0,x,xU˚(x0,δ): |f(x)f(x)|<ε
其他五种极限不再赘述

- 理解:
- 自变量位于x0附近,则函数值接近
- 证明:
- ->:ε2
- <-:构造x0anx0,证明{f(an)}为基本列,嗅探出其极限,再将|f(x)l|拆分为|f(x)f(an)||f(an)l|,取同时满足的条件即可
- #极限夹逼性

幂指函数极限

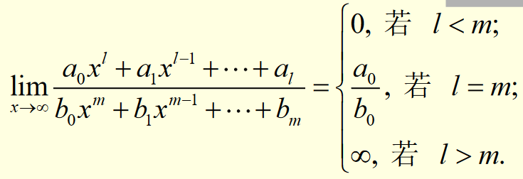
#有理函数极限公式

Note

Pasted image 20231025191241.png


无穷大量、无穷小量

definition 无穷小

limxx0f(x)=0,xx0f(x) $$f(x)=o(1)~(x\to x_0)$$
xx0±, ±,  类似

definition 无穷大

M>0,δ>0, xU˚(x0,δ), |f(x)|>M, xx0f(x) $$\lim\limits_{x\to x_0}f(x)=\infty$$


Example

f(x)=121x1x=0
1x在指数上,指数趋于+∞时常需要分类讨论


无穷小与无穷大的比较

Definition

limα(x)=0=limβ(x), limα(x)β(x)=l

  • l=0,高阶无穷小,记为α(x)=o(β(x))
  • l0,同阶无穷小
    • 特别地,l=1,等价无穷小,记为 α(x)β(x)

limα(x)==limβ(x), limα(x)β(x)=l

  • l=0,低阶无穷大,记为α(x)=o(β(x))
  • l0,同阶无穷大
    • 特别地,l=1,等价无穷大,记为 α(x)β(x)

常用结论

x0{xsinxtanxln(1+x)ex11cosx12x2x2±x3x2

x0 次数高=作用小

x{x2+x3x3lnx=o(x)x=o(ex)

aa, bb, limfβα, 

limfβα=limββlimfβαlimαα

原则:
极限式分子或分母的无穷小因式可以用等价无穷小替换,而和式不能

简证:

limfβα=lim(ββfβααα)=limββlimfβαlimαα


Example

limx01cosxx2

limx0ln(1+x)x=1

limx0ex1x=1

limx0(cosx)1x2

另:记号 Oo

Definition

 c>0, xU˚(x0):

|f(x)|c|g(x)|

记为:$$f(x)=O(g(x))\quad(x\to x_0)$$
特别地

  • fU˚(x0)有界,即$$f(x)=O(1)\quad(x\to x_0)$$
  • fg有界,即$$f=O(g)$$
Corollary

o():f0o(1): f0O():fO(1): f 


Example

limx0(1+x)α1x(α>0)
limx01+xsinxcosxx2
limx0(cosx+x2)1x2